学校官网 设为首页| 加为收藏
工作动态 当前位置: 首页 > 研究生教育 > 工作动态 > 正文

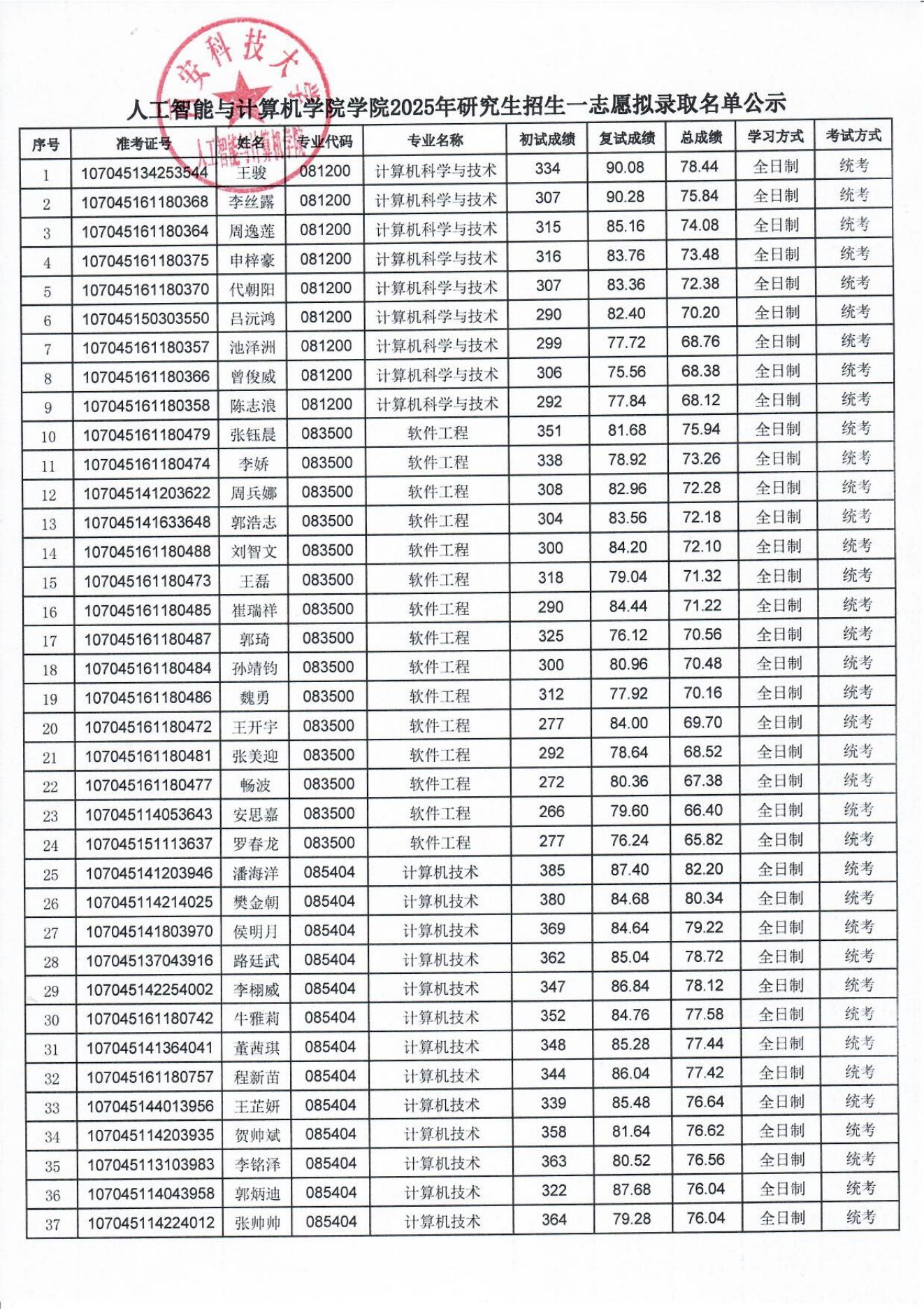
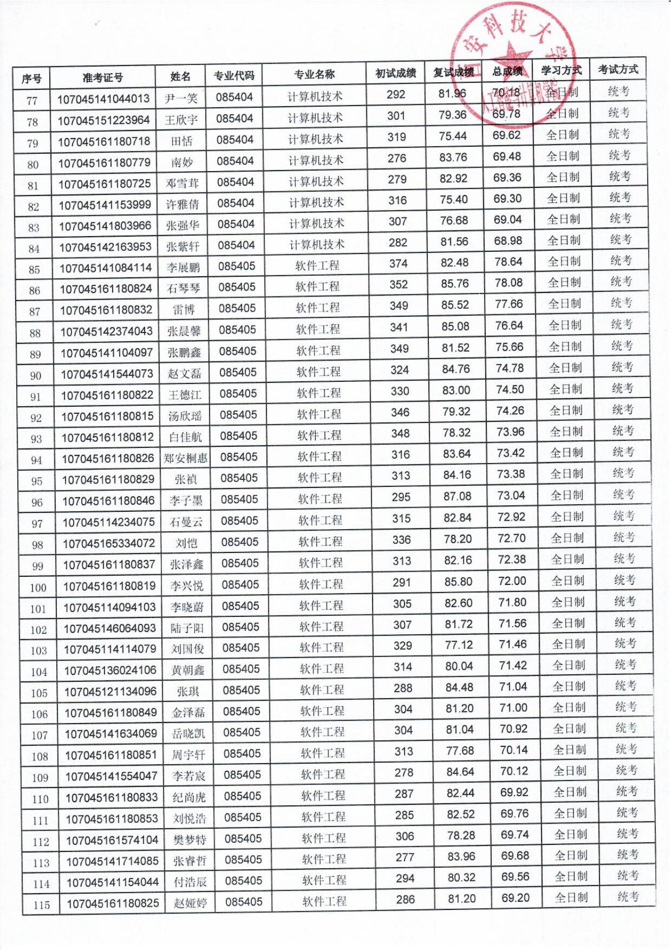
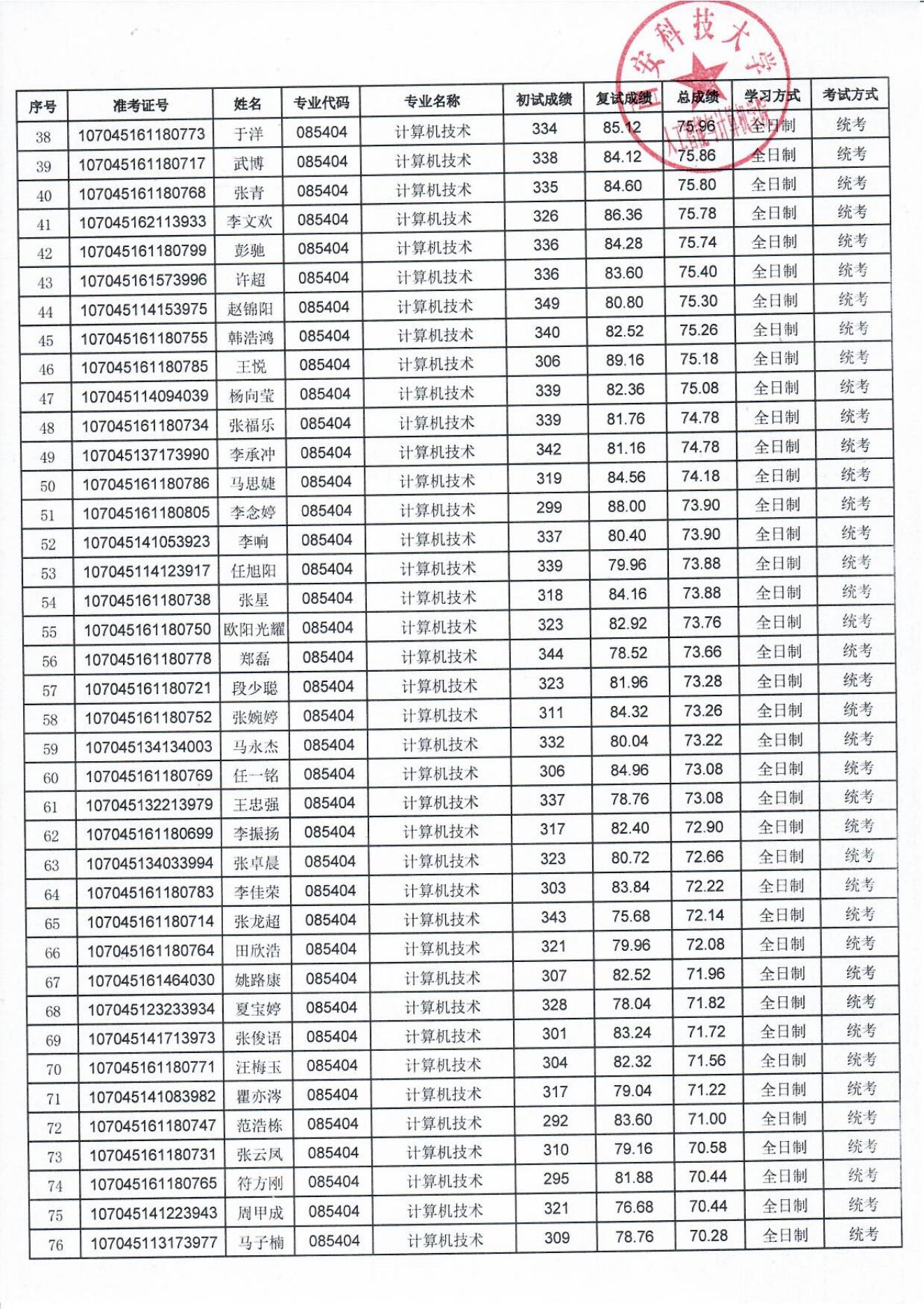
星空体育中国官方网站2025年研究生招生一志愿拟录取名单公示

发布日期:2025-03-31 浏览数: